Early Fc-effector antibody signatures impact COVID-19 disease trajectory

Escalera et al., medRxiv, doi:10.64898/2026.02.18.26346542, Feb 2026
Analysis of early immune determinants of COVID-19 disease severity in 37 immunologically naïve hospitalized patients from Spain's first pandemic wave.
Escalera et al., 19 Feb 2026, preprint, 14 authors.
Early Fc-effector antibody signatures impact COVID-19 disease trajectory
Alba Escalera, Ana S Gonzalez-Reiche, Sadaf Aslam, Enrique Bernal, Galit Alter, Amaya Rojo-Fernandez, Alexander Rombauts, Gabriela Abelenda-Alonso, Mary Anne Amper, Venugopalan D Nair, Harm Van Bakel, Jordi Carratalà, Adolfo García-Sastre, Teresa Aydillo
doi:10.64898/2026.02.18.26346542
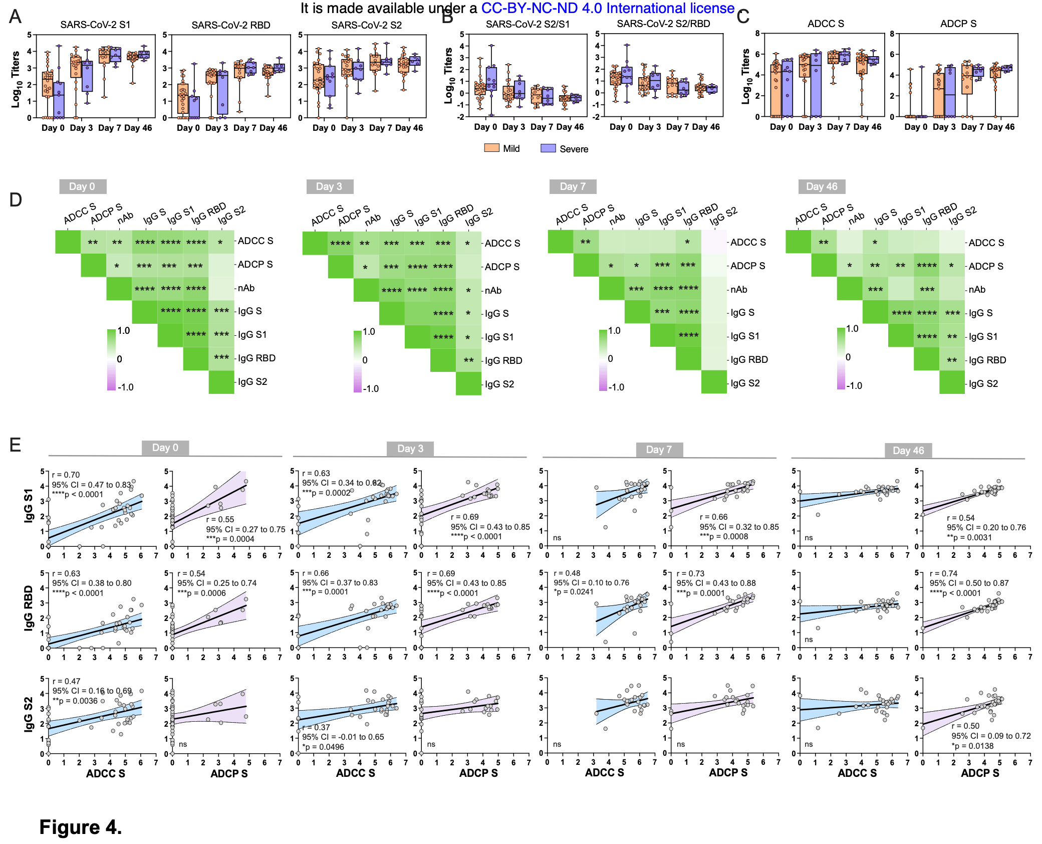
Why do some individuals develop mild COVID-19 while others progress to severe disease remains a central challenge in SARS-CoV-2 immunology. In this study, we leveraged the BACO Cohorta unique historical cohort of immunologically naïve, hospitalized COVID-19 patients from the first pandemic waveto investigate early immune determinants of clinical disease trajectories. Integrating bulk RNA-seq, Olink proteomics, and systems serology, we identified two fundamentally distinct immune trajectories according to disease phenotypes. Severe patients exhibited upregulation of proinflammatory genes and monocyte-associated transcripts, alongside downregulation of genes related to T cell responses and immune signaling. Notably, an upregulation of inhibitory Fc-receptor-associated gene was also found in severe cases. In contrast, mild cases showed coordinated lymphoid activation and limited inflammation. Building on these findings, we performed a functional profiling of Fc-effector activity in the polyclonal serum of the patients and found that monocyte-mediated phagocytosis was a common feature of mild disease. Interestingly, this response was mainly driven by rapid induction of S1-specific antibodies. Conversely, severe patients tended to generate higher levels of S2-biased antibodies early after infection with poor Fc-effector functionality. Together, these findings demonstrate that .
COMPETING INTERESTS: ACKNOWLEDGEMENTS: We thank the BACO cohort and their families. We also thank Richard DATA AVAILABILITY: All data are available in the manuscript or the supplementary materials.
References
Abdallah, Coindre, Gardet, Meurisse, Naji et al., Leukocyte Immunoglobulin-Like Receptors in Regulating the Immune Response in Infectious Diseases: A Window of Opportunity to Pathogen Persistence and a Sound Target in Therapeutics, Front Immunol, doi:10.3389/fimmu.2021.717998
Ackerman, Moldt, Wyatt, Dugast, Mcandrew et al., A robust, high-throughput assay to determine the phagocytic activity of clinical antibody samples, Journal of Immunological Methods, doi:10.1016/j.jim.2010.12.016
Addetia, Crawford, Dingens, Zhu, Roychoudhury et al., Neutralizing Antibodies Correlate with Protection from SARS-CoV-2 in Humans during a Fishery Vessel Outbreak with a High Attack Rate, J Clin Microbiol, doi:10.1128/jcm.02107-20
Agrati, Sacchi, Bordoni, Cimini, Notari et al., Expansion of myeloid-derived suppressor cells in patients with severe coronavirus disease (COVID-19), Cell Death Differ, doi:10.1038/s41418-020-0572-6
Amanat, Strohmeier, Lee, Bangaru, Ward et al., Murine Monoclonal Antibodies against the Receptor Binding Domain of SARS-CoV-2 Neutralize Authentic Wild-Type SARS-CoV-2 as Well as B.1.1.7 and B.1.351 Viruses and Protect In Vivo in a Mouse Model in a Neutralization-Dependent Manner, mBio, doi:e0100221.10.1128/mBio.01002-21
Anderson, Goodwin, Verma, Arevalo, Bolton et al., Seasonal human coronavirus antibodies are boosted upon SARS-CoV-2 infection but not associated with protection, Cell, doi:1810.10.1016/j.cell.2021.02.010
Arunachalam, Wimmers, Mok, Perera, Scott et al., Systems biological assessment of immunity to mild versus severe COVID-19 infection in humans, Science, doi:10.1126/science.abc6261
Aschenbrenner, Mouktaroudi, Krämer, Oestreich, Antonakos et al., Disease severityspecific neutrophil signatures in blood transcriptomes stratify COVID-19 patients, Genome Med, doi:10.1186/s13073-020-00823-5
Aydillo, Escalera, Strohmeier, Aslam, Sanchez-Cespedes et al., Pre-existing Hemagglutinin Stalk Antibodies Correlate with Protection of Lower Respiratory Symptoms in Flu-Infected Transplant Patients, Cell Rep Med, doi:10.1016/j.xcrm.2020.100130
Aydillo, Gonzalez-Reiche, Stadlbauer, Amper, Nair et al., Transcriptome signatures preceding the induction of anti-stalk antibodies elicited after universal influenza vaccination, NPJ Vaccines, doi:10.1038/s41541-022-00583-w
Aydillo, Rombauts, Stadlbauer, Aslam, Abelenda-Alonso et al., Immunological imprinting of the antibody response in COVID-19 patients, Nat Commun, doi:10.1038/s41467-021-23977-1
Barnes, Jette, Abernathy, Dam, Esswein et al., SARS-CoV-2 neutralizing antibody structures inform therapeutic strategies, Nature, doi:10.1038/s41586-020-2852-1
Bauer, Weber, Diehl-Wiesenecker, Galtung, Prpic et al., Plasma Proteome Fingerprints Reveal Distinctiveness and Clinical Outcome of SARS-CoV-2 Infection, Viruses, doi:10.3390/v13122456
Beaudoin-Bussières, Laumaea, Anand, Prévost, Gasser et al., Decline of Humoral Responses against SARS-CoV-2 Spike in Convalescent Individuals, doi:11.10.1128/mBio.02590-20
Beyer, Mallmann, Xue, Staratschek-Jox, Vorholt et al., High-resolution transcriptome of human macrophages, PLoS One, doi:10.1371/journal.pone.0045466
Blanco-Melo, Nilsson-Payant, Liu, Uhl, Hoagland et al., Imbalanced Host Response to SARS-CoV-2 Drives Development of COVID-19, Cell, doi:1039.10.1016/j.cell.2020.04.026
Bournazos, Gupta, Ravetch, The role of IgG Fc receptors in antibodydependent enhancement, Nat Rev Immunol, doi:10.1038/s41577-020-00410-0
Bournazos, Vo, Duong, Auerswald, Ly et al., Antibody fucosylation predicts disease severity in secondary dengue infection, Science, doi:10.1126/science.abc7303
Brouwer, Caniels, Van Der Straten, Snitselaar, Aldon et al., Potent neutralizing antibodies from COVID-19 patients define multiple targets of vulnerability, Science, doi:10.1126/science.abc5902
Bruhns, Iannascoli, England, Mancardi, Fernandez et al., Specificity and affinity of human Fcgamma receptors and their polymorphic variants for human IgG subclasses, Blood, doi:10.1182/blood-2008-09-179754
Chakraborty, Gonzalez, Edwards, Mallajosyula, Buzzanco et al., Proinflammatory IgG Fc structures in patients with severe COVID-19, Nat Immunol, doi:10.1038/s41590-020-00828-7
Chan, Koh, Ng, Qin, Ooi et al., Early peripheral blood MCEMP1 and HLA-DRA expression predicts COVID-19 prognosis, eBioMedicine, doi:10.1016/j.ebiom.2023.104472
Charytonowicz, Brody, Sebra, Interpretable and context-free deconvolution of multi-scale whole transcriptomic data with UniCell deconvolve, Nat Commun, doi:10.1038/s41467-023-36961-8
Chen, Wu, Guo, Cao, Huang et al., Clinical and immunological features of severe and moderate coronavirus disease 2019, J Clin Invest, doi:10.1172/jci137244
De Jong, Simmons, Thanh, Hien, Smith et al., Fatal outcome of human influenza A (H5N1) is associated with high viral load and hypercytokinemia, Nat Med, doi:10.1038/nm1477
Dechavanne, Nouatin, Adamou, Edslev, Hansen et al., Placental Malaria is Associated with Higher LILRB2 Expression in Monocyte Subsets and Lower Anti-Malarial IgG Antibodies During Infancy, Front Immunol, doi:10.3389/fimmu.2022.909831
Del Sole, Farcomeni, Loffredo, Carnevale, Menichelli et al., Features of severe COVID-19: A systematic review and meta-analysis, Eur J Clin Invest, doi:10.1111/eci.13378
Diao, Wang, Tan, Chen, Liu et al., Reduction and Functional Exhaustion of T Cells in Patients With Coronavirus Disease 2019 (COVID-19), Front Immunol, doi:10.3389/fimmu.2020.00827
Dias, Jr, Atyeo, Loos, Montoya et al., Antibody Fc characteristics and effector functions correlate with protection from symptomatic dengue virus type 3 infection, Sci Transl Med, doi:10.1126/scitranslmed.abm3151
Dilillo, Palese, Wilson, Ravetch, Broadly neutralizing anti-influenza antibodies require Fc receptor engagement for in vivo protection, J Clin Invest, doi:10.1172/jci84428
Edgar, Trezise, Anthony, Krammer, Palese et al., Antibodies elicited in humans upon chimeric hemagglutinin-based influenza virus vaccination confer FcγR-dependent protection in vivo, Proc Natl Acad Sci U S A, doi:10.1073/pnas.2314905120
Eisfeld, Halfmann, Wendler, Kyle, Burnum-Johnson et al., Multi-platform 'Omics Analysis of Human Ebola Virus Disease Pathogenesis, Cell Host & Microbe, doi:10.1016/j.chom.2017.10.011
Encinas, Escalera, Aydillo, Iglesias, Nelson et al., SARS-CoV-2 Neutralizing Antibodies in Free-Ranging Fallow Deer (Dama dama) and Red Deer (Cervus elaphus) in Suburban and Rural Areas in Spain, Transbound Emerg Dis, doi:10.1155/2023/3324790
Escalera, Gonzalez-Reiche, Aslam, Mena, Laporte et al., Mutations in SARS-CoV-2 variants of concern link to increased spike cleavage and virus transmission, Cell Host Microbe, doi:377.10.1016/j.chom.2022.01.006
Escalera, Rojo-Fernandez, Rombauts, Abelenda-Alonso, Carratalà et al., SARS-CoV-2 infection induces robust mucosal antibody responses in the upper respiratory tract, iScience, doi:109210.10.1016/j.isci.2024.109210
Fischinger, Fallon, Michell, Broge, Suscovich et al., A high-throughput, bead-based, antigen-specific assay to assess the ability of antibodies to induce complement activation, Journal of Immunological Methods, doi:10.1016/j.jim.2019.07.002
Freyn, Han, Guthmiller, Bailey, Neu et al., Influenza hemagglutinin-specific IgA Fceffector functionality is restricted to stalk epitopes, Proc Natl Acad Sci U S A, doi:10.1073/pnas.2018102118
Gao, Fan, Zheng, Li, Wang et al., Binding and neutralizing abilities of antibodies towards SARS-CoV-2 S2 domain, Human Vaccines & Immunotherapeutics, doi:10.1080/21645515.2022.2055373
Ghaffarpour, Ghazanfari, Ardestani, Naghizadeh, Vaez Mahdavi et al., Cytokine profiles dynamics in COVID-19 patients: a longitudinal analysis of disease severity and outcomes, Sci Rep, doi:10.1038/s41598-025-98505-y
Giamarellos-Bourboulis, Netea, Rovina, Akinosoglou, Antoniadou et al., Complex Immune Dysregulation in COVID-19 Patients with Severe Respiratory Failure, Cell Host Microbe, doi:1003.10.1016/j.chom.2020.04.009
Guan, Ni, Hu, Liang, Ou et al., Clinical Characteristics of Coronavirus Disease 2019 in China, N Engl J Med, doi:10.1056/NEJMoa2002032
Guenthoer, Garrett, Lilly, Depierreux, Ruiz et al., The S2 subunit of spike encodes diverse targets for functional antibody responses to SARS-CoV-2, PLoS Pathog, doi:10.1371/journal.ppat.1012383
Hackney, Shivram, Vander Heiden, Overall, Orozco et al., A myeloid program associated with COVID-19 severity is decreased by therapeutic blockade of IL-6 signaling, iScience, doi:.10.1016/j.isci.2023.107813
Hadjadj, Yatim, Barnabei, Corneau, Boussier et al., Impaired type I interferon activity and inflammatory responses in severe COVID-19 patients, Science, doi:10.1126/science.abc6027
Hai, Martínez-Sobrido, Fraser, Ayllon, García-Sastre et al., Influenza B virus NS1-truncated mutants: live-attenuated vaccine approach, J Virol, doi:10.1128/jvi.01213-08
Hao, Hao, Andersen-Nissen, Mauck, Zheng et al., Integrated analysis of multimodal single-cell data, Cell, doi:3529.10.1016/j.cell.2021.04.048
Harriott, Ryan, Proteomic profiling identifies biomarkers of COVID-19 severity, Heliyon, doi:10.1016/j.heliyon.2023.e23320
Hsieh, Goldsmith, Schaub, Divenere, Kuo et al., Structure-based design of prefusion-stabilized SARS-CoV-2 spikes, Science, doi:10.1126/science.abd0826
Huang, Wang, Li, Ren, Zhao et al., Clinical features of patients infected with 2019 novel coronavirus in Wuhan, China, Lancet, doi:10.1016/s0140-6736(20)30183-5
Karsten, Mehta, Shin, Diefenbach, Slein et al., A versatile high-throughput assay to characterize antibody-mediated neutrophil phagocytosis, Journal of Immunological Methods, doi:10.1016/j.jim.2019.05.006
Khoury, Cromer, Reynaldi, Schlub, Wheatley et al., Neutralizing antibody levels are highly predictive of immune protection from symptomatic SARS-CoV-2 infection, Nat Med, doi:10.1038/s41591-021-01377-8
Kolberg, Raudvere, Kuzmin, Vilo, Peterson, gprofiler2 --an R package for gene list functional enrichment analysis and namespace conversion toolset g:Profiler, Res, doi:10.12688/f1000research.24956.2
Law, Chen, Shi, Smyth, voom: precision weights unlock linear model analysis tools for RNA-seq read counts, Genome Biology, doi:10.1186/gb-2014-15-2-r29
Lee, Park, Jeong, Ahn, Choi et al., Immunophenotyping of COVID-19 and influenza highlights the role of type I interferons in development of severe COVID-19, Sci Immunol, doi:10.1126/sciimmunol.abd1554
Lei, A single transcript for the prognosis of disease severity in COVID-19 patients, Sci Rep, doi:10.1038/s41598-021-91754-7
Li, Dewey, RSEM: accurate transcript quantification from RNA-Seq data with or without a reference genome, BMC Bioinformatics, doi:10.1186/1471-2105-12-323
Li, Guo, Tian, Wang, Yang et al., Virus-Host Interactome and Proteomic Survey Reveal Potential Virulence Factors Influencing SARS-CoV-2 Pathogenesis, Med, doi:10.1016/j.medj.2020.07.002
Liao, Liu, Yuan, Wen, Xu et al., Single-cell landscape of bronchoalveolar immune cells in patients with COVID-19, Nat Med, doi:10.1038/s41591-020-0901-9
Liao, Smyth, Shi, featureCounts: an efficient general purpose program for assigning sequence reads to genomic features, Bioinformatics, doi:10.1093/bioinformatics/btt656
Lichterfeld, Yu, The emerging role of leukocyte immunoglobulin-like receptors (LILRs) in HIV-1 infection, J Leukoc Biol, doi:10.1189/jlb.0811442
Liu, Wang, Nair, Yu, Rapp et al., Potent neutralizing antibodies against multiple epitopes on SARS-CoV-2 spike, Nature, doi:10.1038/s41586-020-2571-7
Liu, Zhou, Yang, The cytokine storm of severe influenza and development of immunomodulatory therapy, Cell Mol Immunol, doi:10.1038/cmi.2015.74
Lowery, Sariol, Perlman, Innate immune and inflammatory responses to SARS-CoV-2: Implications for COVID-19, Cell Host & Microbe, doi:10.1016/j.chom.2021.05.004
Lucas, Wong, Klein, Castro, Silva et al., Longitudinal analyses reveal immunological misfiring in severe COVID-19, Nature, doi:10.1038/s41586-020-2588-y
Lévy, Wiedemann, Hejblum, Durand, Lefebvre et al., CD177, a specific marker of neutrophil activation, is associated with coronavirus disease 2019 severity and death, iScience, doi:.10.1016/j.isci.2021.102711
Marsh, Hatami, Palese, Specific residues of the influenza A virus hemagglutinin viral RNA are important for efficient packaging into budding virions, J Virol, doi:10.1128/jvi.01144-07
Messner, Demichev, Wendisch, Michalick, White et al., Ultra-High-Throughput Clinical Proteomics Reveals Classifiers of COVID-19 Infection, Cell Syst, doi:14.10.1016/j.cels.2020.05.012
Ming, Li, Wu, Zhang, Zhong et al., Immunoglobulin-Like Transcript 5 Inhibits Macrophage-Mediated Bacterial Killing and Antigen Presentation During Sepsis, J Infect Dis, doi:10.1093/infdis/jiz319
Moraes, Ayo, Elpidio, Souza, Yamanaka et al., HLA-G, LILRB1 and LILRB2 Variants in Zika Virus Transmission from Mother to Child in a Population from South and Southeast of Brazil, Curr Issues Mol Biol, doi:10.3390/cimb44070191
Motsoeneng, Dhar, Nunes, Krammer, Madhi et al., Hemagglutinin Stalk-Specific Fc-Mediated Functions Are Associated With Protection Against Influenza Illness After Seasonal Influenza Vaccination, J Infect Dis, doi:10.1093/infdis/jiae241
Muthuraman, Jackman, Liang, Garrett, Cui et al., Human antibody targeting of coronavirus spike S2 subunit is associated with protection mediated by Fc effector functions, J Virol, doi:10.1128/jvi.01523-25
Nimmerjahn, Ravetch, Fc-receptors as regulators of immunity, Adv Immunol, doi:10.1016/s0065-2776(07)96005-8
Ong, Chan, Leong, Lee, Kalimuddin et al., A Dynamic Immune Response Shapes COVID-19 Progression, Cell Host Microbe, doi:872.10.1016/j.chom.2020.03.021
Prebensen, Lefol, Myhre, Lüders, Jonassen et al., Longitudinal whole blood transcriptomic analysis characterizes neutrophil activation and interferon signaling in moderate and severe COVID-19, Scientific Reports, doi:10.1038/s41598-023-37606-y
Redondo-García, Barritt, Papagregoriou, Yeboah, Frendeus et al., Human leukocyte immunoglobulin-like receptors in health and disease, Front Immunol, doi:10.3389/fimmu.2023.1282874
Ritchie, Phipson, Wu, Hu, Law et al., limma powers differential expression analyses for RNA-sequencing and microarray studies, Nucleic Acids Research, doi:10.1093/nar/gkv007
Rojo-Fernandez, Aslam, Alam, Escalera, Villamandos et al., Systemic and mucosal immune signatures of protection against SARS-CoV-2 transmission in humans, Cell Rep Med, doi:10.1016/j.xcrm.2025.102505
Sadanandam, Bopp, Dixit, Knapp, Emperumal et al., A blood transcriptome-based analysis of disease progression, immune regulation, and symptoms in coronavirus-infected patients, Cell Death Discovery, doi:10.1038/s41420-020-00376-x
Schulte-Schrepping, Reusch, Paclik, Baßler, Schlickeiser et al., Severe COVID-19 Is Marked by a Dysregulated Myeloid Cell Compartment, Cell, doi:1423.10.1016/j.cell.2020.08.001
Schäfer, Muecksch, Lorenzi, Leist, Cipolla et al., Antibody potency, effector function, and combinations in protection and therapy for SARS-CoV-2 infection in vivo, J Exp Med, doi:10.1084/jem.20201993
Shiakolas, Kramer, Wrapp, Richardson, Schäfer et al., Cross-reactive coronavirus antibodies with diverse epitope specificities and Fc effector functions, Cell Rep Med, doi:10.1016/j.xcrm.2021.100313
Silvin, Chapuis, Dunsmore, Goubet, Dubuisson et al., Elevated Calprotectin and Abnormal Myeloid Cell Subsets Discriminate Severe from Mild COVID-19, Cell, doi:1418.10.1016/j.cell.2020.08.002
Song, Zhang, Fan, Meng, Xu et al., Immunological and inflammatory profiles in mild and severe cases of COVID-19, Nat Commun, doi:10.1038/s41467-020-17240-2
Sterlin, Mathian, Miyara, Mohr, Anna et al., IgA dominates the early neutralizing antibody response to SARS-CoV-2, Science Translational Medicine, doi:10.1126/scitranslmed.abd2223
Sun, He, Liu, Zhu, Zhang et al., Anti-S2 antibodies responsible for the SARS-CoV-2 infection-induced serological crossreactivity against MERS-CoV and MERS-related coronaviruses, Front Immunol, doi:10.3389/fimmu.2025.1541269
Tang, Zeng, Cox, Li, Son et al., Respiratory mucosal immunity against SARS-CoV-2 after mRNA vaccination, Sci Immunol, doi:4853.10.1126/sciimmunol.add4853
Tortorici, Czudnochowski, Starr, Marzi, Walls et al., Broad sarbecovirus neutralization by a human monoclonal antibody, Nature, doi:10.1038/s41586-021-03817-4
Valle, Kim-Schulze, Huang, Beckmann, Nirenberg et al., An inflammatory cytokine signature predicts COVID-19 severity and survival, Nat Med, doi:10.1038/s41591-020-1051-9
Van Der Touw, Chen, Pan, Chen, LILRB receptor-mediated regulation of myeloid cell maturation and function, Cancer Immunol Immunother, doi:10.1007/s00262-017-2023-x
Walsh, Teijaro, Wilker, Jatzek, Fremgen et al., Suppression of cytokine storm with a sphingosine analog provides protection against pathogenic influenza virus, Proc Natl Acad Sci U S A, doi:10.1073/pnas.1107024108
Wilk, Rustagi, Zhao, Roque, Martínez-Colón et al., A single-cell atlas of the peripheral immune response in patients with severe COVID-19, Nat Med, doi:10.1038/s41591-020-0944-y
Wu, Chen, Cai, Xia, Zhou et al., Risk Factors Associated With Acute Respiratory Distress Syndrome and Death in Patients With Coronavirus Disease 2019 Pneumonia in Wuhan, China, JAMA Intern Med, doi:10.1001/jamainternmed.2020.0994
Yang, Yu, Xu, Shu, Xia et al., Clinical course and outcomes of critically ill patients with SARS-CoV-2 pneumonia in Wuhan, China: a single-centered, retrospective, observational study, Lancet Respir Med, doi:10.1016/s2213-2600(20)30079-5
Yeboah, Papagregoriou, Jones, Chan, Hu et al., LILRB3 (ILT5) is a myeloid cell checkpoint that elicits profound immunomodulation, JCI Insight, doi:.10.1172/jci.insight.141593
Zhang, Stacey, D'agostino, Tugg, Marzok et al., Beyond neutralization: Fc-dependent antibody effector functions in SARS-CoV-2 infection, Nat Rev Immunol, doi:10.1038/s41577-022-00813-1
Zhao, Van Woudenbergh, Zhu, Heck, Van Kessel et al., The Orphan Immune Receptor LILRB3 Modulates Fc Receptor-Mediated Functions of Neutrophils, J Immunol, doi:10.4049/jimmunol.1900852
Zhou, Yu, Du, Fan, Liu et al., Clinical course and risk factors for mortality of adult inpatients with COVID-19 in Wuhan, China: a retrospective cohort study, The Lancet, doi:10.1016/S0140-6736(20)30566-3
Zobel, Wenzel, Krüger, Baumgarten, Wagelöhner et al., Serum interleukin-6, procalcitonin, and Creactive protein at hospital admission can identify patients at low risk for severe COVID-19 progression, Front Microbiol, doi:10.3389/fmicb.2023.1256210
Zohar, Loos, Fischinger, Atyeo, Wang et al., Compromised Humoral Functional Evolution Tracks with SARS-CoV-2 Mortality, Cell, doi:1512.10.1016/j.cell.2020.10.052
Zost, Gilchuk, Case, Binshtein, Chen et al., Potently neutralizing and protective human antibodies against SARS-CoV-2, Nature, doi:10.1038/s41586-020-2548-6
DOI record: { "DOI": "10.64898/2026.02.18.26346542", "URL": "http://dx.doi.org/10.64898/2026.02.18.26346542", "abstract": "<jats:title>ABSTRACT</jats:title>\n <jats:p>Why do some individuals develop mild COVID-19 while others progress to severe disease remains a central challenge in SARS-CoV-2 immunology. In this study, we leveraged the BACO Cohort – a unique historical cohort of immunologically naïve, hospitalized COVID-19 patients from the first pandemic wave – to investigate early immune determinants of clinical disease trajectories. Integrating bulk RNA-seq, Olink proteomics, and systems serology, we identified two fundamentally distinct immune trajectories according to disease phenotypes. Severe patients exhibited upregulation of proinflammatory genes and monocyte-associated transcripts, alongside downregulation of genes related to T cell responses and immune signaling. Notably, an upregulation of inhibitory Fc-receptor–associated gene was also found in severe cases. In contrast, mild cases showed coordinated lymphoid activation and limited inflammation. Building on these findings, we performed a functional profiling of Fc-effector activity in the polyclonal serum of the patients and found that monocyte-mediated phagocytosis was a common feature of mild disease. Interestingly, this response was mainly driven by rapid induction of S1-specific antibodies. Conversely, severe patients tended to generate higher levels of S2-biased antibodies early after infection with poor Fc-effector functionality. Together, these findings demonstrate that early S1-directed, Fc-competent humoral immunity is a key determinant of favorable COVID-19 outcomes, while delayed functional maturation and early S2 bias characterized severe disease in the BACO cohort.</jats:p>", "accepted": { "date-parts": [ [ 2026, 2, 19 ] ] }, "author": [ { "ORCID": "https://orcid.org/0000-0003-0061-0768", "affiliation": [ { "name": "Department of Microbiology, Icahn School of Medicine at Mount Sinai, New York, NY 10029, USA" }, { "name": "Global Health and Emerging Pathogens Institute, Icahn School of Medicine at Mount Sinai, New York, NY 10029, USA" } ], "authenticated-orcid": false, "family": "Escalera", "given": "Alba", "sequence": "first" }, { "ORCID": "https://orcid.org/0000-0003-3583-4497", "affiliation": [ { "name": "Department of Genetics and Genomic Sciences, Icahn School of Medicine at Mount Sinai, New York, NY 10029, USA" } ], "authenticated-orcid": false, "family": "Gonzalez-Reiche", "given": "Ana S.", "sequence": "additional" }, { "affiliation": [ { "name": "Department of Microbiology, Icahn School of Medicine at Mount Sinai, New York, NY 10029, USA" }, { "name": "Global Health and Emerging Pathogens Institute, Icahn School of Medicine at Mount Sinai, New York, NY 10029, USA" }, { "name": "Department of Health Sciences, University of Burgos, 09001 Burgos, Spain" } ], "family": "Aslam", "given": "Sadaf", "sequence": "additional" }, { "affiliation": [ { "name": "Instituto Murciano de Investigación Biosanitaria, Universidad de Murcia, Hospital General Universitario Reina Sofía, 30003 Murcia, Spain" } ], "family": "Bernal", "given": "Enrique", "sequence": "additional" }, { "affiliation": [ { "name": "The Ragon Institute of MGH, MIT and Harvard, Cambridge, MA 02139, USA" } ], "family": "Alter", "given": "Galit", "sequence": "additional" }, { "affiliation": [ { "name": "Department of Microbiology, Icahn School of Medicine at Mount Sinai, New York, NY 10029, USA" }, { "name": "Global Health and Emerging Pathogens Institute, Icahn School of Medicine at Mount Sinai, New York, NY 10029, USA" }, { "name": "Department of Health Sciences, University of Burgos, 09001 Burgos, Spain" } ], "family": "Rojo-Fernandez", "given": "Amaya", "sequence": "additional" }, { "affiliation": [ { "name": "Department of Infectious Diseases, Bellvitge University Hospital, 08907 L’Hospitalet de Llobregat, Spain" }, { "name": "Bellvitge Biomedical Research Institute (IDIBELL), 08907 ĹHospitalet de Llobregat, Spain" } ], "family": "Rombauts", "given": "Alexander", "sequence": "additional" }, { "affiliation": [ { "name": "Department of Infectious Diseases, Bellvitge University Hospital, 08907 L’Hospitalet de Llobregat, Spain" }, { "name": "Bellvitge Biomedical Research Institute (IDIBELL), 08907 ĹHospitalet de Llobregat, Spain" }, { "name": "Center for Biomedical Network Research on Infectious Diseases (CIBERINFEC), Carlos III Health Institute, 28029 Madrid, Spain" } ], "family": "Abelenda-Alonso", "given": "Gabriela", "sequence": "additional" }, { "affiliation": [ { "name": "Department of Neurology, Icahn School of Medicine at Mount Sinai, New York, NY 10029, USA" } ], "family": "Amper", "given": "Mary Anne", "sequence": "additional" }, { "affiliation": [ { "name": "Department of Neurology, Icahn School of Medicine at Mount Sinai, New York, NY 10029, USA" } ], "family": "Nair", "given": "Venugopalan D.", "sequence": "additional" }, { "ORCID": "https://orcid.org/0000-0002-1376-6916", "affiliation": [ { "name": "Department of Microbiology, Icahn School of Medicine at Mount Sinai, New York, NY 10029, USA" }, { "name": "Department of Genetics and Genomic Sciences, Icahn School of Medicine at Mount Sinai, New York, NY 10029, USA" }, { "name": "Icahn Genomics Institute, Icahn School of Medicine at Mount Sinai, New York, NY 10029, USA" } ], "authenticated-orcid": false, "family": "van Bakel", "given": "Harm", "sequence": "additional" }, { "affiliation": [ { "name": "Department of Infectious Diseases, Bellvitge University Hospital, 08907 L’Hospitalet de Llobregat, Spain" }, { "name": "Bellvitge Biomedical Research Institute (IDIBELL), 08907 ĹHospitalet de Llobregat, Spain" }, { "name": "Center for Biomedical Network Research on Infectious Diseases (CIBERINFEC), Carlos III Health Institute, 28029 Madrid, Spain" }, { "name": "Department of Clinical Sciences, Faculty of Medicine and Health Sciences, University of Barcelona, 08907 ĹHospitalet de Llobregat, Spain" } ], "family": "Carratalà", "given": "Jordi", "sequence": "additional" }, { "affiliation": [ { "name": "Department of Microbiology, Icahn School of Medicine at Mount Sinai, New York, NY 10029, USA" }, { "name": "Global Health and Emerging Pathogens Institute, Icahn School of Medicine at Mount Sinai, New York, NY 10029, USA" }, { "name": "Department of Medicine, Division of Infectious Diseases, Icahn School of Medicine at Mount Sinai, New York, NY 10029, USA" }, { "name": "Department of Pathology, Molecular and Cell-Based Medicine, Icahn School of Medicine at Mount Sinai, New York, NY 10029, USA" }, { "name": "The Tisch Cancer Institute, Icahn School of Medicine at Mount Sinai, New York, NY 10029, USA" } ], "family": "García-Sastre", "given": "Adolfo", "sequence": "additional" }, { "ORCID": "https://orcid.org/0000-0003-3086-1058", "affiliation": [ { "name": "Department of Microbiology, Icahn School of Medicine at Mount Sinai, New York, NY 10029, USA" }, { "name": "Global Health and Emerging Pathogens Institute, Icahn School of Medicine at Mount Sinai, New York, NY 10029, USA" } ], "authenticated-orcid": false, "family": "Aydillo", "given": "Teresa", "sequence": "additional" } ], "container-title": [], "content-domain": { "crossmark-restriction": false, "domain": [] }, "created": { "date-parts": [ [ 2026, 2, 20 ] ], "date-time": "2026-02-20T03:15:13Z", "timestamp": 1771557313000 }, "deposited": { "date-parts": [ [ 2026, 2, 21 ] ], "date-time": "2026-02-21T16:25:19Z", "timestamp": 1771691119000 }, "group-title": "Infectious Diseases (except HIV/AIDS)", "indexed": { "date-parts": [ [ 2026, 2, 21 ] ], "date-time": "2026-02-21T17:07:19Z", "timestamp": 1771693639912, "version": "3.50.1" }, "institution": [ { "name": "medRxiv" } ], "is-referenced-by-count": 0, "issued": { "date-parts": [ [ 2026, 2, 19 ] ] }, "license": [ { "URL": "http://creativecommons.org/licenses/by-nc-nd/4.0/", "content-version": "vor", "delay-in-days": 0, "start": { "date-parts": [ [ 2026, 2, 19 ] ], "date-time": "2026-02-19T00:00:00Z", "timestamp": 1771459200000 } } ], "link": [ { "URL": "https://syndication.highwire.org/content/doi/10.64898/2026.02.18.26346542", "content-type": "unspecified", "content-version": "vor", "intended-application": "similarity-checking" } ], "member": "54368", "original-title": [], "posted": { "date-parts": [ [ 2026, 2, 19 ] ] }, "prefix": "10.64898", "published": { "date-parts": [ [ 2026, 2, 19 ] ] }, "publisher": "openRxiv", "reference": [ { "DOI": "10.1056/NEJMoa2002032", "doi-asserted-by": "publisher", "key": "2026022108250924000_2026.02.18.26346542v1.1" }, { "DOI": "10.1016/s0140-6736(20)30183-5", "doi-asserted-by": "publisher", "key": "2026022108250924000_2026.02.18.26346542v1.2" }, { "DOI": "10.1016/j.cell.2020.04.026", "doi-asserted-by": "publisher", "key": "2026022108250924000_2026.02.18.26346542v1.3" }, { "DOI": "10.1038/s41591-020-0944-y", "doi-asserted-by": "publisher", "key": "2026022108250924000_2026.02.18.26346542v1.4" }, { "DOI": "10.1038/s41586-020-2588-y", "doi-asserted-by": "publisher", "key": "2026022108250924000_2026.02.18.26346542v1.5" }, { "DOI": "10.1016/j.chom.2020.03.021", "doi-asserted-by": "publisher", "key": "2026022108250924000_2026.02.18.26346542v1.6" }, { "DOI": "10.1126/science.abc6027", "doi-asserted-by": "publisher", "key": "2026022108250924000_2026.02.18.26346542v1.7" }, { "DOI": "10.1016/j.chom.2021.05.004", "doi-asserted-by": "publisher", "key": "2026022108250924000_2026.02.18.26346542v1.8" }, { "DOI": "10.1016/S0140-6736(20)30566-3", "doi-asserted-by": "publisher", "key": "2026022108250924000_2026.02.18.26346542v1.9" }, { "DOI": "10.1172/jci137244", "doi-asserted-by": "publisher", "key": "2026022108250924000_2026.02.18.26346542v1.10" }, { "DOI": "10.1126/sciimmunol.abd1554", "doi-asserted-by": "publisher", "key": "2026022108250924000_2026.02.18.26346542v1.11" }, { "DOI": "10.1038/cmi.2015.74", "doi-asserted-by": "publisher", "key": "2026022108250924000_2026.02.18.26346542v1.12" }, { "DOI": "10.1073/pnas.1107024108", "doi-asserted-by": "publisher", "key": "2026022108250924000_2026.02.18.26346542v1.13" }, { "DOI": "10.1038/nm1477", "doi-asserted-by": "publisher", "key": "2026022108250924000_2026.02.18.26346542v1.14" }, { "DOI": "10.1038/s41598-025-98505-y", "doi-asserted-by": "publisher", "key": "2026022108250924000_2026.02.18.26346542v1.15" }, { "DOI": "10.3389/fmicb.2023.1256210", "doi-asserted-by": "publisher", "key": "2026022108250924000_2026.02.18.26346542v1.16" }, { "DOI": "10.1126/science.abc6261", "doi-asserted-by": "publisher", "key": "2026022108250924000_2026.02.18.26346542v1.17" }, { "DOI": "10.1038/s41420-020-00376-x", "doi-asserted-by": "publisher", "key": "2026022108250924000_2026.02.18.26346542v1.18" }, { "DOI": "10.3390/v13122456", "doi-asserted-by": "publisher", "key": "2026022108250924000_2026.02.18.26346542v1.19" }, { "DOI": "10.3389/fimmu.2020.00827", "doi-asserted-by": "publisher", "key": "2026022108250924000_2026.02.18.26346542v1.20" }, { "DOI": "10.1038/s41591-020-0901-9", "doi-asserted-by": "publisher", "key": "2026022108250924000_2026.02.18.26346542v1.21" }, { "DOI": "10.1111/eci.13378", "doi-asserted-by": "publisher", "key": "2026022108250924000_2026.02.18.26346542v1.22" }, { "DOI": "10.1001/jamainternmed.2020.0994", "doi-asserted-by": "publisher", "key": "2026022108250924000_2026.02.18.26346542v1.23" }, { "DOI": "10.1016/s2213-2600(20)30079-5", "doi-asserted-by": "publisher", "key": "2026022108250924000_2026.02.18.26346542v1.24" }, { "DOI": "10.1038/s41586-020-2571-7", "doi-asserted-by": "publisher", "key": "2026022108250924000_2026.02.18.26346542v1.25" }, { "DOI": "10.1038/s41586-020-2852-1", "doi-asserted-by": "publisher", "key": "2026022108250924000_2026.02.18.26346542v1.26" }, { "DOI": "10.1038/s41586-020-2548-6", "doi-asserted-by": "publisher", "key": "2026022108250924000_2026.02.18.26346542v1.27" }, { "DOI": "10.1016/j.cell.2021.02.010", "doi-asserted-by": "publisher", "key": "2026022108250924000_2026.02.18.26346542v1.28" }, { "DOI": "10.3389/fimmu.2025.1541269", "doi-asserted-by": "publisher", "key": "2026022108250924000_2026.02.18.26346542v1.29" }, { "DOI": "10.1080/21645515.2022.2055373", "doi-asserted-by": "publisher", "key": "2026022108250924000_2026.02.18.26346542v1.30" }, { "DOI": "10.1038/s41577-022-00813-1", "doi-asserted-by": "publisher", "key": "2026022108250924000_2026.02.18.26346542v1.31" }, { "DOI": "10.1038/s41577-020-00410-0", "doi-asserted-by": "publisher", "key": "2026022108250924000_2026.02.18.26346542v1.32" }, { "DOI": "10.1182/blood-2008-09-179754", "doi-asserted-by": "publisher", "key": "2026022108250924000_2026.02.18.26346542v1.33" }, { "DOI": "10.1016/j.xcrm.2020.100130", "doi-asserted-by": "publisher", "key": "2026022108250924000_2026.02.18.26346542v1.34" }, { "DOI": "10.1172/JCI84428", "doi-asserted-by": "publisher", "key": "2026022108250924000_2026.02.18.26346542v1.35" }, { "DOI": "10.1073/pnas.2314905120", "doi-asserted-by": "publisher", "key": "2026022108250924000_2026.02.18.26346542v1.36" }, { "DOI": "10.1073/pnas.2018102118", "doi-asserted-by": "publisher", "key": "2026022108250924000_2026.02.18.26346542v1.37" }, { "DOI": "10.1093/infdis/jiae241", "doi-asserted-by": "publisher", "key": "2026022108250924000_2026.02.18.26346542v1.38" }, { "DOI": "10.1038/s41467-021-23977-1", "doi-asserted-by": "publisher", "key": "2026022108250924000_2026.02.18.26346542v1.39" }, { "DOI": "10.1016/j.isci.2024.109210", "doi-asserted-by": "publisher", "key": "2026022108250924000_2026.02.18.26346542v1.40" }, { "DOI": "10.1038/s41591-020-1051-9", "doi-asserted-by": "publisher", "key": "2026022108250924000_2026.02.18.26346542v1.41" }, { "DOI": "10.1016/j.cels.2020.05.012", "doi-asserted-by": "publisher", "key": "2026022108250924000_2026.02.18.26346542v1.42" }, { "DOI": "10.1016/j.heliyon.2023.e23320", "doi-asserted-by": "publisher", "key": "2026022108250924000_2026.02.18.26346542v1.43" }, { "DOI": "10.1016/j.isci.2023.107813", "doi-asserted-by": "publisher", "key": "2026022108250924000_2026.02.18.26346542v1.44" }, { "DOI": "10.1038/s41598-021-91754-7", "doi-asserted-by": "publisher", "key": "2026022108250924000_2026.02.18.26346542v1.45" }, { "DOI": "10.1007/s00262-017-2023-x", "doi-asserted-by": "publisher", "key": "2026022108250924000_2026.02.18.26346542v1.46" }, { "DOI": "10.3389/fimmu.2023.1282874", "doi-asserted-by": "publisher", "key": "2026022108250924000_2026.02.18.26346542v1.47" }, { "DOI": "10.1172/jci.insight.141593", "doi-asserted-by": "publisher", "key": "2026022108250924000_2026.02.18.26346542v1.48" }, { "DOI": "10.4049/jimmunol.1900852", "doi-asserted-by": "publisher", "key": "2026022108250924000_2026.02.18.26346542v1.49" }, { "DOI": "10.1016/S0065-2776(07)96005-8", "doi-asserted-by": "publisher", "key": "2026022108250924000_2026.02.18.26346542v1.50" }, { "DOI": "10.1038/s41541-022-00583-w", "doi-asserted-by": "publisher", "key": "2026022108250924000_2026.02.18.26346542v1.51" }, { "DOI": "10.1038/s41467-023-36961-8", "doi-asserted-by": "publisher", "key": "2026022108250924000_2026.02.18.26346542v1.52" }, { "DOI": "10.1126/science.abc5902", "doi-asserted-by": "publisher", "key": "2026022108250924000_2026.02.18.26346542v1.53" }, { "DOI": "10.1371/journal.ppat.1012383", "doi-asserted-by": "publisher", "key": "2026022108250924000_2026.02.18.26346542v1.54" }, { "DOI": "10.1038/s41586-021-03817-4", "doi-asserted-by": "publisher", "key": "2026022108250924000_2026.02.18.26346542v1.55" }, { "DOI": "10.1128/JVI.01213-08", "doi-asserted-by": "publisher", "key": "2026022108250924000_2026.02.18.26346542v1.56" }, { "DOI": "10.1128/JVI.01144-07", "doi-asserted-by": "publisher", "key": "2026022108250924000_2026.02.18.26346542v1.57" }, { "DOI": "10.1128/jcm.02107-20", "doi-asserted-by": "publisher", "key": "2026022108250924000_2026.02.18.26346542v1.58" }, { "DOI": "10.1038/s41591-021-01377-8", "doi-asserted-by": "publisher", "key": "2026022108250924000_2026.02.18.26346542v1.59" }, { "DOI": "10.1084/jem.20201993", "doi-asserted-by": "publisher", "key": "2026022108250924000_2026.02.18.26346542v1.60" }, { "DOI": "10.1128/mBio.02590-20", "doi-asserted-by": "publisher", "key": "2026022108250924000_2026.02.18.26346542v1.61" }, { "DOI": "10.1016/j.cell.2020.10.052", "doi-asserted-by": "publisher", "key": "2026022108250924000_2026.02.18.26346542v1.62" }, { "DOI": "10.1038/s41467-020-17240-2", "doi-asserted-by": "publisher", "key": "2026022108250924000_2026.02.18.26346542v1.63" }, { "DOI": "10.1038/s41418-020-0572-6", "doi-asserted-by": "publisher", "key": "2026022108250924000_2026.02.18.26346542v1.64" }, { "DOI": "10.1126/sciimmunol.add4853", "doi-asserted-by": "publisher", "key": "2026022108250924000_2026.02.18.26346542v1.65" }, { "DOI": "10.1126/scitranslmed.abd2223", "doi-asserted-by": "publisher", "key": "2026022108250924000_2026.02.18.26346542v1.66" }, { "DOI": "10.1038/s41590-020-00828-7", "doi-asserted-by": "publisher", "key": "2026022108250924000_2026.02.18.26346542v1.67" }, { "DOI": "10.1016/j.xcrm.2025.102505", "doi-asserted-by": "publisher", "key": "2026022108250924000_2026.02.18.26346542v1.68" }, { "DOI": "10.1016/j.cell.2020.08.001", "doi-asserted-by": "publisher", "key": "2026022108250924000_2026.02.18.26346542v1.69" }, { "DOI": "10.1016/j.cell.2020.08.002", "doi-asserted-by": "publisher", "key": "2026022108250924000_2026.02.18.26346542v1.70" }, { "DOI": "10.1016/j.chom.2020.04.009", "doi-asserted-by": "publisher", "key": "2026022108250924000_2026.02.18.26346542v1.71" }, { "DOI": "10.1038/s41598-023-37606-y", "doi-asserted-by": "publisher", "key": "2026022108250924000_2026.02.18.26346542v1.72" }, { "DOI": "10.1186/s13073-020-00823-5", "doi-asserted-by": "publisher", "key": "2026022108250924000_2026.02.18.26346542v1.73" }, { "DOI": "10.1016/j.ebiom.2023.104472", "doi-asserted-by": "publisher", "key": "2026022108250924000_2026.02.18.26346542v1.74" }, { "DOI": "10.1016/j.medj.2020.07.002", "doi-asserted-by": "publisher", "key": "2026022108250924000_2026.02.18.26346542v1.75" }, { "DOI": "10.1016/j.isci.2021.102711", "doi-asserted-by": "publisher", "key": "2026022108250924000_2026.02.18.26346542v1.76" }, { "DOI": "10.1371/journal.pone.0045466", "doi-asserted-by": "publisher", "key": "2026022108250924000_2026.02.18.26346542v1.77" }, { "DOI": "10.3389/fimmu.2021.717998", "doi-asserted-by": "publisher", "key": "2026022108250924000_2026.02.18.26346542v1.78" }, { "DOI": "10.1093/infdis/jiz319", "doi-asserted-by": "publisher", "key": "2026022108250924000_2026.02.18.26346542v1.79" }, { "DOI": "10.3389/fimmu.2022.909831", "doi-asserted-by": "publisher", "key": "2026022108250924000_2026.02.18.26346542v1.80" }, { "DOI": "10.1189/jlb.0811442", "doi-asserted-by": "publisher", "key": "2026022108250924000_2026.02.18.26346542v1.81" }, { "DOI": "10.3390/cimb44070191", "doi-asserted-by": "publisher", "key": "2026022108250924000_2026.02.18.26346542v1.82" }, { "DOI": "10.1126/science.abc7303", "doi-asserted-by": "publisher", "key": "2026022108250924000_2026.02.18.26346542v1.83" }, { "DOI": "10.1126/scitranslmed.abm3151", "doi-asserted-by": "publisher", "key": "2026022108250924000_2026.02.18.26346542v1.84" }, { "DOI": "10.1128/jvi.01523-25", "doi-asserted-by": "publisher", "key": "2026022108250924000_2026.02.18.26346542v1.85" }, { "DOI": "10.1016/j.xcrm.2021.100313", "doi-asserted-by": "publisher", "key": "2026022108250924000_2026.02.18.26346542v1.86" }, { "DOI": "10.1016/j.cell.2021.04.048", "doi-asserted-by": "publisher", "key": "2026022108250924000_2026.02.18.26346542v1.87" }, { "DOI": "10.1128/mBio.01002-21", "doi-asserted-by": "publisher", "key": "2026022108250924000_2026.02.18.26346542v1.88" }, { "DOI": "10.1155/2023/3324790", "doi-asserted-by": "publisher", "key": "2026022108250924000_2026.02.18.26346542v1.89" }, { "DOI": "10.1126/science.abd0826", "doi-asserted-by": "publisher", "key": "2026022108250924000_2026.02.18.26346542v1.90" }, { "DOI": "10.1016/j.chom.2022.01.006", "doi-asserted-by": "publisher", "key": "2026022108250924000_2026.02.18.26346542v1.91" }, { "DOI": "10.1016/j.chom.2017.10.011", "doi-asserted-by": "publisher", "key": "2026022108250924000_2026.02.18.26346542v1.92" }, { "DOI": "10.1093/bioinformatics/btt656", "doi-asserted-by": "publisher", "key": "2026022108250924000_2026.02.18.26346542v1.93" }, { "DOI": "10.1186/1471-2105-12-323", "doi-asserted-by": "publisher", "key": "2026022108250924000_2026.02.18.26346542v1.94" }, { "DOI": "10.1186/gb-2014-15-2-r29", "doi-asserted-by": "publisher", "key": "2026022108250924000_2026.02.18.26346542v1.95" }, { "DOI": "10.1093/nar/gkv007", "doi-asserted-by": "publisher", "key": "2026022108250924000_2026.02.18.26346542v1.96" }, { "DOI": "10.12688/f1000research.24956.2", "doi-asserted-by": "publisher", "key": "2026022108250924000_2026.02.18.26346542v1.97" }, { "DOI": "10.1016/j.jim.2010.12.016", "doi-asserted-by": "publisher", "key": "2026022108250924000_2026.02.18.26346542v1.98" }, { "DOI": "10.1016/j.jim.2019.05.006", "doi-asserted-by": "publisher", "key": "2026022108250924000_2026.02.18.26346542v1.99" }, { "DOI": "10.1016/j.jim.2019.07.002", "doi-asserted-by": "publisher", "key": "2026022108250924000_2026.02.18.26346542v1.100" } ], "reference-count": 100, "references-count": 100, "relation": {}, "resource": { "primary": { "URL": "http://medrxiv.org/lookup/doi/10.64898/2026.02.18.26346542" } }, "score": 1, "short-title": [], "source": "Crossref", "subject": [], "subtitle": [], "subtype": "preprint", "title": "Early Fc-effector antibody signatures impact COVID-19 disease trajectory", "type": "posted-content" }
Please send us corrections, updates, or comments. c19early involves the extraction of 200,000+ datapoints from thousands of papers. Community updates help ensure high accuracy. Treatments and other interventions are complementary. All practical, effective, and safe means should be used based on risk/benefit analysis. No treatment or intervention is 100% available and effective for all current and future variants. We do not provide medical advice. Before taking any medication, consult a qualified physician who can provide personalized advice and details of risks and benefits based on your medical history and situation. IMA and WCH provide treatment protocols.
  or use drag and drop   
Submit